
Soalan Matematik Tambahan Spm Dan Skema Jawapan 2019 Kuora X

Solaf 1 Skema Pemarkahan Math
Modul 11 Flip Ebook Pages 1 12 Anyflip Anyflip
Peng Amiran Pdf Ruang Waktu Mengajar Matematika
Matmatik Ungkapan Algebra Pdf
Solaf Add Maths Answer Pdf

Soalan Percubaan Spm 2017 Matematik Tambahan Negeri Pahang Berserta Skema Jawapan
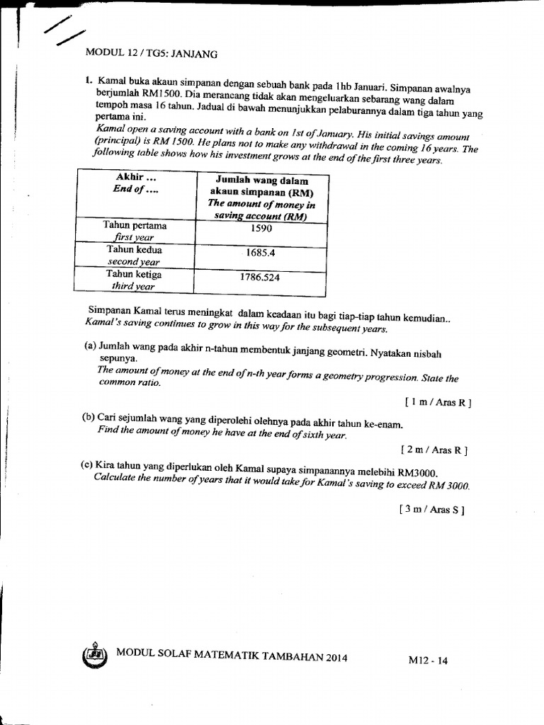
![]()
K 5 33 G F L K 600 2 X X 10322 X 600 2 X X 1032 2 X Modul Solaf Matematik Course Hero
Tuisyen Jawapan Janjang Modul Solaf Pdf
![]()
K 5 33 G F L K 600 2 X X 10322 X 600 2 X X 1032 2 X Modul Solaf Matematik Course Hero

Solaf Kps Inferens Pdf Document
Tags:
Archive